高考真题 各大名校模拟题

助力二轮、三轮复习,祝您学习进步!

题目出处:2020 年高考地理(新课标Ⅲ卷)
发布时间:2021-04-20 21:09:27
组合题

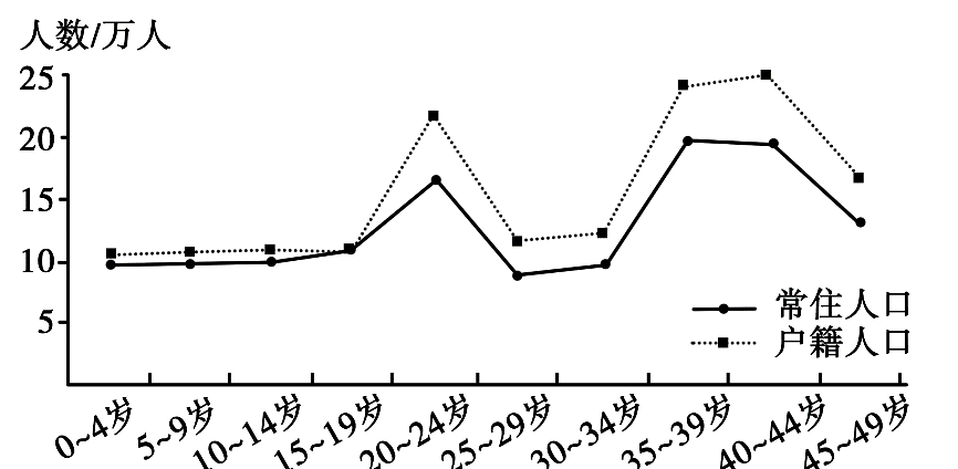
户籍人口与常住人口的差值可以表示当地人口常年(半年以上)外出的数量。图2显示2010年我国西部某市50岁以下各年龄组女性人数。调查表明,该市妇女生育峰值在21-29岁。据此完成4~6题。

 

图2

第1题 单选

4. 以下时间段中,该市人口出生率最高的为

第2题 单选

5. 造成该市20~24岁年龄组人数明显偏多的原因可能是,该组人口出生期间

# 网友评论